本記事で触れているGoogleアナリティクスは、ユニバーサルアナリティクス(UA)を前提としています。
GA4を対象とした記事ではございませんので、ご注意ください。
2017年4月頃、Googleアナリティクスに「セッションの品質」レポートが登場しました。
ユーザー>行動>セッションの品質からレポートを確認できます。
セッションの品質とは?(Google公式ヘルプより引用します)
アナリティクスでは、スマートリストやスマートゴールと同様の機械学習を使用して、ユーザーがコンバージョンにどの程度近づいているかを示す「セッションの品質」指標と「セッションの平均品質」指標を測定します。ユーザー エンゲージメントはセッションごとに評価され、期間中に発生した各セッションのコンバージョンまでの近さがどのくらいかが 1~100 のスコアで表示されます。「1」はトランザクションから最も遠く、「100」はトランザクションに最も近いことを表します。値「0」は、選択した期間で指標が測定されなかったことを示します。
セッションの品質は、個々のセッションごとに測定されます。
引用元:https://support.google.com/analytics/answer/7303153

ただし、このレポートが現れるには、比較的高いハードルがありますので、読者の方全員のGoogleアナリティクスには現れていないかと思われます。そのハードルとは、品質スコアについての公式ヘルプページに記述されている通り、以下となります。
・1 か月あたり 1,000 回以上の e コマース トランザクション。e コマース トラッキングを実装しておく必要があります。
・1 か月の e コマース トランザクション数が下限の 1,000 回に達したら、同じ水準のデータが 30 日分必要になります(モデルを作成するため)。
つまり、1ヶ月あたり1000回以上のeコマーストランザクションが発生しなければいけません。さらにレポートが見えるまでには30日のデータ蓄積が必要ということです。
月間に1,000回もecトランザクションが発生しない、あるいは、そもそもecサイトでない方で、セッションの品質を利用してみたい場合、是非、info@principle-cp-test.red-turtle.xyzからご相談ください。
この「セッションの品質」の活用方法の一つは、公式ヘルプページにもあるとおり「リマーケティングユーザーリスト」を精緻にし、より効率のよいリマーケティング広告を実施するところにあります。結果的にそれは、リマーケティングされる側にとっても、嫌がられることの少ない広告になるはずです。
以下では、「セッションの品質が自社のGoogleアナリティクスに登場した」という方を対象に、どのように「『リマーケティングリストの精緻化』を行うべきか、行うことができるのか?」を論じてゆきます。

セッションの品質の分析
データをBIツールTableauに取り込み、X軸に「セッションの数(=ウェブサイトへの訪問回数)」を取り、Y軸に「平均のセッション品質」を取ると以下のようなビジュアライズが取り出せます。青いラインがCVしていないユーザー、オレンジがCVしたユーザーです。

上記データから、以下を発見することができました。
・コンバージョンしたユーザーは、そうでないユーザーにくらべ初回訪問時から平均のセッションの品質が3倍程度になっている。
・コンバージョンしたユーザーは3回目の訪問までは、訪問回数を増やすほどセッションの品質が上昇しているが4回目から下降し、その後20回目の訪問まで下降するトレンドにある
するとこのサイトでは、
・「初回セッションのセッションの品質が16(とか17とか)を超えている」場合、リマーケティングリストに含めるのが良さそう。
・リマーケティング対象ユーザーは3回目の訪問までが良さそう。
という判断が出来ます。
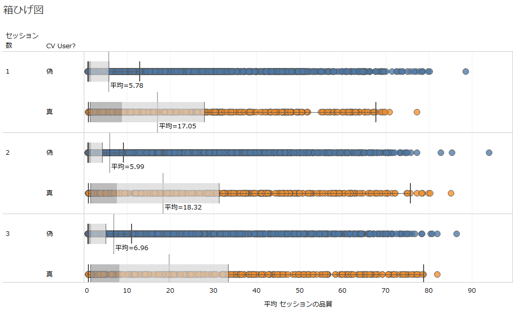
また、せっかくTableauにデータを取り込んでいますので、「初回訪問時に直帰したか否か?」をセグメントに加え、また、3回目までのセッションについて、コンバージョンしたユーザー、していないユーザー別にセッションの品質の平均値と中央値をビジュアライズしてみました。結果は以下の通りです。

CV User?列は、「真」がコンバージョンしたユーザー、「偽」がコンバージョンしていないユーザーです。注意深く見てゆくと、以下のようなことを発見できるはずです。
・初回訪問で直帰したユーザー(6,048人)中にも124人のにコンバージョンしたユーザーが含まれている。
・それらユーザーは2回目の訪問で比較的高いセッションの品質を記録している(平均値で16.4、中央値で12.0)。
・平均値と中央値が比較的大きく異なっており、「平均値>中央値」となっている。一部のユーザーが非常に高いセッションの品質をもたらしていると考えられる。
すると、先程立てたリマーケティング施策の方針は以下のように変わるかもしれません。
・初回訪問で直帰したユーザーであっても、2回目の訪問である程度高いセッションの品質をもたらした場合にはリマーケティングリストに入れた方が良い。
・初回訪問で著しく高いセッションの品質を記録したユーザーは(リマーケティングなしでもコンバージョンする可能性があるので)リマーケティング対象から外すことを検討した方が良い(別途深掘りが必要)。
まとめ
如何でしょうか?本ブログ記事で紹介しているのは、実際の事例というよりは、セッションの品質をユーザー単位に分解して記録することで、より深い分析が可能になる。さらに、そうした粒度の細かいデータについては、BIツールの利用が有効と言うことです。
その2点については理解して頂けたのではないかと思います。
おまけ
最後におまけとして本記事を執筆中にTableauで作成したビジュアライズを二つご紹介します。Tableauでどんなことが可視化できるのかの参考になれば幸いです。

クライアントID別、セッション数別のセッションの品質。オレンジ色のバーがコンバージョンしたセッションを表しています。平均値や中央値に集計する前の、個別のユーザーのもたらした、一つ一つのセッションの品質が分かります(クライアントIDは文字列変換でオリジナルから変形しています)。

上図は、個別ユーザーの、セッションの数別セッション品質の箱ひげ図です。灰色のボックスの色味の切り替わりが中央値を示しています。一部の(と言っても大勢いますが)セッションの品質の高いユーザーのセッションに引きづられ、平均値が中央値よりも高くなっている様が見て取れます。
上記のように個別ユーザー毎にセッションの品質を取得すると、商材によっては、マーケティングオートメーションツールにセッションの品質を取得し、スコアリングやトリガーにとして利用する。という応用方法もありそうです。







